Bertrand Roduit 1 *, Charles Albert Luyet 1, Marco Hartmann 1, Patrick Folly 2, Alexandre Sarbach 2, Alain Dejeaifve 3, Rowan Dobson 3, Nicolas Schroeter 4, Olivier Vorlet 4, Michal Dabros 4, Richard Baltensperger 4
+ More information
1 AKTS AG Advanced Kinetics and Technology Solutions, http://www.akts.com, Technopôle 1, 3960 Siders, Switzerland
2 armasuisse, Science and Technology Centre, http://www.armasuisse.ch, 3602 Thun, Switzerland
3 PB Clermont EURENCO Group, Rue de Clermont 176, 4480 Engis, Belgium
4 School of Engineering and Architecture of Fribourg, HES-SO University of Applied Sciences and Arts Western Switzerland, Bd de Pérolles 80, 1700 Fribourg, Switzerland
* Author to whom correspondence should be addressed
Abstract
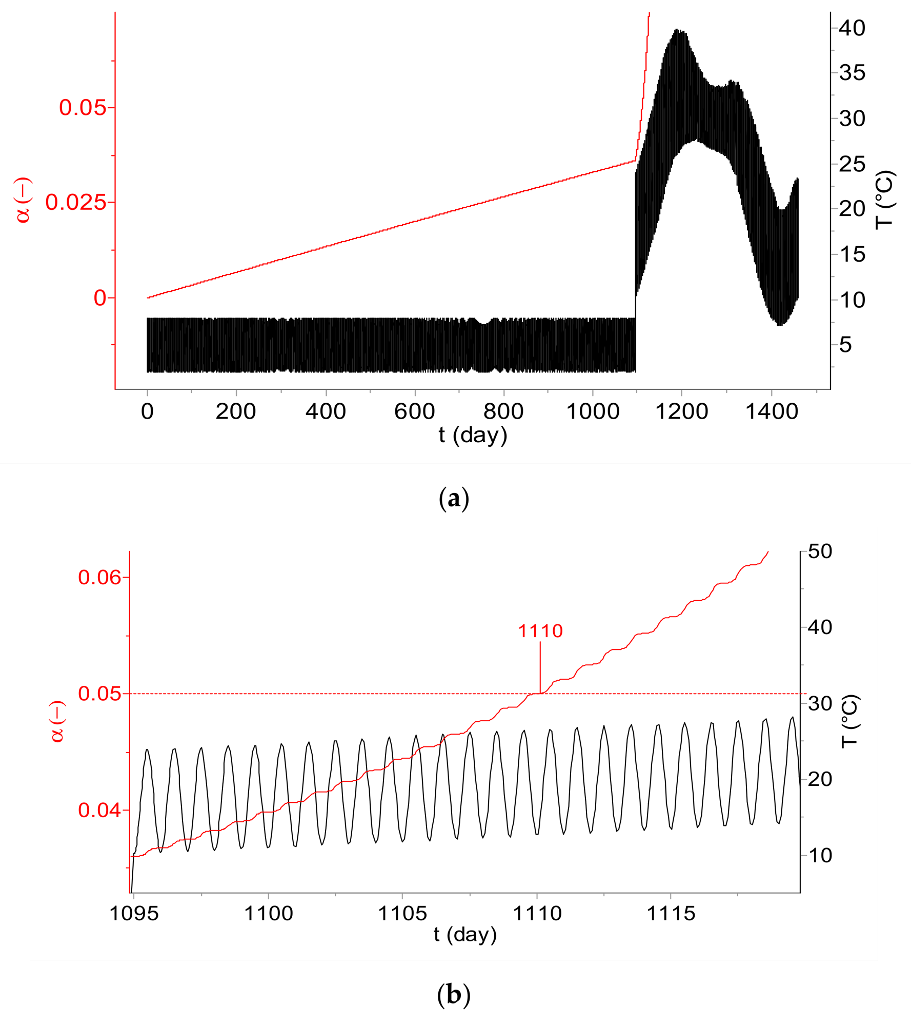
The evaluation of the shelf life of, for example, food, pharmaceutical materials, polymers, and energetic materials at room or daily climate fluctuation temperatures requires kinetic analysis in temperature ranges which are as similar as possible to those at which the products will be stored or transported in. A comparison of the results of the evaluation of the shelf life of a propellant and a vaccine calculated by advanced kinetics and simplified 0th and 1st order kinetic models is presented. The obtained simulations show that the application of simplified kinetics or the commonly used mean kinetic temperature approach may result in an imprecise estimation of the shelf life. The implementation of the kinetic parameters obtained from advanced kinetic analyses into programmable data loggers allows the continuous online evaluation and display on a smartphone of the current extent of the deterioration of materials. The proposed approach is universal and can be used for any goods, any methods of shelf life determination, and any type of data loggers. Presented in this study, the continuous evaluation of the shelf life of perishable goods based on the Internet of Things (IoT) paradigm helps in the optimal storage/shipment and results in a significant decrease of waste.













